• You can now help support WorldwideDX when you shop on Amazon at no additional cost to you! Simply follow this Shop on Amazon link first and a portion of any purchase is sent to WorldwideDX to help with site costs.

MV13Y Diode Array

brandon7861

Loose Wire
I Support WorldwideDX.com!
Nov 28, 2018
2,426
2,695
293
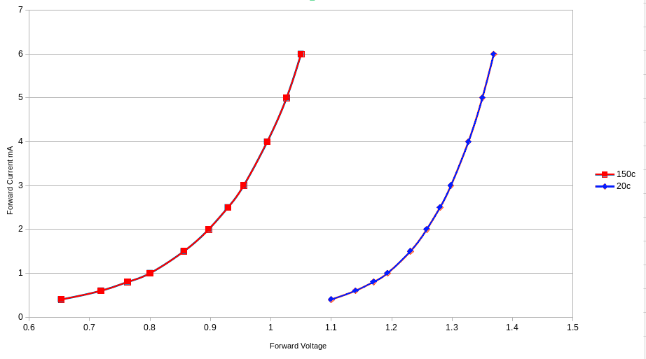
I went with 25°C (77°F) and 125°C (257°F) for my initial measurements as those two values are most common in datasheets. This gives us something useful to compare to when searching for alternative diode arrays.

I used a pot of cooking oil for these measurements so the temp didn't change while I took the measurement points. I feel bad about sticking my MV13Y in 257°F oil for 5 minutes, but it was for a good cause, and it seemed to survive. I took 25°C readings before and after the hot bath ~ they didn't change.

I have not compared these curves to other diodes yet. I went with 0.4mA to 6mA as the diode, while in my washington, idled at 3.2mA in SSB. Here are the two curves.
MV13Y.png

edit: to swap colors around

The hunt is on!
 
Last edited:
  • Like
Reactions: Tech5

If you caught the first 10 minutes of my post, I said that 4148's were a bad choice, but it depends what datasheet you look at. The axial 4148's (2 in series) would actually be close, but the 4148 SMD array I mentioned in another thread would not be. I will keep searching tomorrow.
 
  • Like
Reactions: Tech5

dxChat
Help Users
  • No one is chatting at the moment.
  • @ COWBOYS:
    Denton GL 1000 ham amp comes on, but will not key up
  • @ COWBOYS:
    What can I do to make my Denton GLS 1000 amp to load ?
  • @ AudioShockwav:
    Try starting a new thread in the Amplifier section and asking the question, more people will see it to respond.
  • @ iw7ed:
    hello